Carbon budgets for the 1.5°C limit
Authors
Carl-Friedrich Schleussner, Katarzyna B. Tokarska, Martin Stolpe, Peter Pfleiderer, Quentin Lejeune, Bill Hare
Share

The concept of carbon budgets is rooted in physics and has proven itself very useful to communicate the urgency to act on climate change. However, it has its own challenges and uncertainties, i.e. linked to definitional issues, accounting non-CO2 emissions and/or Earth system feedbacks. These uncertainties increase in relative relevance if the available budget is small, as it is the case for 1.5°C. If the size of these uncertainties is of the order of the remaining central budget estimate, it is questionable whether this concept is still informative.
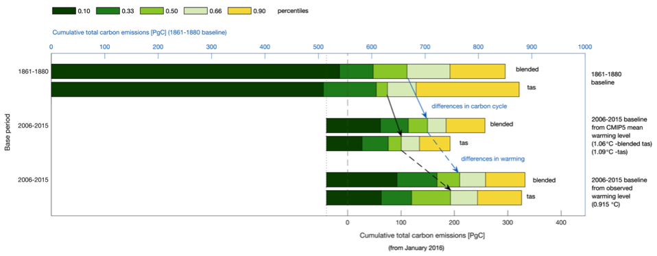
Recent publications using a reference period over the recent decade for observed and modelled warming and cumulative carbon emissions have argued that the remaining “carbon budget” available to meet the Paris agreement long-term temperature goal is larger than previously estimated by the IPCC in its Fifth Assessment Report (Millar et al 2017, Tokarska and Gillett 2018, Leach et al 2018), which has given rise to a lot of confusion and discussion.
This briefing examines the estimates of the remaining warming that have been used in the IPCC AR5 and in recent studies and evaluate the consequences for carbon budget estimates to limit warming to 1.5°C. The main basis for a bigger budget is that CMIP5 models show a stronger warming between 1986-2005 and 2006-2015 than has been identified in temperature observations. Adjusting model results for the observed decadal warming increases the level of warming remaining to reach 1.5°C by about 0.16°C. For reference, an increase (decrease) of 0.1°C in the level of warming remaining to reach 1.5°C adds (subtracts) about 200 gigatons of CO2 to the budget.
However, it is questionable whether or not the 2006-2015 warming mismatch between models and observations is systematic in nature, or the result of climate forcing differences, natural variability and methodological differences. In fact, we show that accounting for all of these effects allows us to reconcile models and observations over this period. This implies that a part of the budget increase might be an artefact resulting from the choice of the reference period and warming product used, rather than a real finding.
We find that the temperature rebasing effect explains about 60-80% of the estimated increase in carbon budgets in recent studies compared to the IPCC AR5 estimates. The remainder is linked to differences in diagnosed historical CO2 emissions in the models.

IPCC mitigation benchmarks are not informed by carbon budgets, but by emission reduction pathways quantified by temperature alone. Therefore, they are independent from any uncertainties arising from historical cumulation CO2 emissions. Assessments for mitigation targets would only change as a result of changes in the reference period warming, which lacks a solid foundation as discussed above. Therefore, there is no direct policy relevance in updated carbon budgets beyond the discussion around global mean temperature.
Independently of these updated estimates, it needs to be emphasized that any notion of “more time” for climate protection is completely ill advised. In order to be in line with 1.5°C, global GHG emissions need to peak as soon as possible and then reduce by 50% in 2030 (and equally 50% below current NDC level). Instead of ‘more time’ to delay climate action, we have no time to lose to achieve 1.5°C.
This briefing has been updated on 18 September 2018.











